Calcul Littéral 3ème
Le calcul littéral 3ème est une partie essentielle des mathématiques qui permet de manipuler des expressions contenant des lettres. Ces lettres représentent des nombres inconnus ou variables, ce qui permet d’écrire des formules générales et de résoudre des équations.
Dans ce chapitre, nous allons apprendre à :
- Comprendre ce qu’est une expression littérale
- Effectuer des calculs avec des expressions littérales
- Développer et factoriser des expressions
1. Développement
Cours
Développement simple
Propriété : On considère trois nombres relatifs a, b et k.
k (a + b) = ka + kb
k (a – b) = ka – kb
Exemple : Développer et réduire l’expression suivante.
Exercices d'application
Calcul littéral – Développement simple.pdf
Correction des exercices d’application :
Cours
Développement double
Propriété : On considère quatre nombres relatifs a, b, c et d.
(a + b)(c + d) = ac + ad + bc + bd.
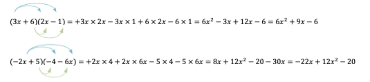
Exemples : Développer et réduire les expressions suivantes.
Remarque : Le développement d’une expression du type (a + b)(a – b) = a² – b²
Exercices d'application
Calcul littéral – Développement double.pdf
Correction des exercices d’application :
2. Suppression de parenthèses
Cours
Pour supprimer des parenthèses précédées du signe « + » :
- on supprime les parenthèses et le signe « + » qui les précède.
- on réécrit l’expression sans changer les signes des termes situés à l’intérieur des parenthèses.
Pour supprimer des parenthèses précédées d’un signe « – » :
- on supprime les parenthèses et le signe « – » qui les précède.
- on réécrit l’expression en changeant les signes des termes situés à l’intérieur des parenthèses.
Exemples : Réduire les expressions suivantes.
Exercices d'application
Calcul littéral – Suppression de parenthèses.pdf
Correction des exercices d’application :
Pour plus de vidéos, découvrir la chaine Youtube FormaMaths.
3. Factorisation
Cours
Méthode : Pour factoriser une expression littérale,
- on fait réapparaître les signes de multiplication supprimés
- on repère un facteur commun aux deux termes de la différence ou de la somme et on factorise par ce facteur commun.
Exemples : Factoriser les expressions suivantes.
Remarque : Le développement d’une expression du type a² – b² = (a + b)(a – b).
Le calcul littéral en 3ème est un outil puissant qui permet de généraliser des calculs, de résoudre des équations et d’exprimer des relations mathématiques.
Grâce à ce chapitre, tu es capable de manipuler les expressions littérales, de développer et de factoriser des expressions et de résoudre des équations !
Prochaines Étapes
La pratique régulière est essentielle pour se familiariser avec le calcul littéral. Pour exceller :
Révisez attentivement les exercices corrigés pour vous familiariser.
Poursuivez votre progression en explorant les autres chapitres de 3ème.
N’hésitez pas à utiliser les ressources complémentaires sur la chaîne Youtube FormaMaths pour des explications visuelles ou bien prendre des cours particuliers. Vous pouvez essayer des maintenant gratuitement et sans condition nos cours particuliers.
